Blog
Soalan Kbat Sejarah Tingkatan 5 Bab 4 Kertas 3
2015 isuzu d max sx auto 4x4 my15 reviews
10th grade reading comprehension worksheets with answers
10th grade reading comprehension worksheets grade 9
2016 mazda cx 5 sport awd for sale
2016 honda cr v dashboard symbols
20 sifat mustahil bagi allah dalam tulisan jawi
2017 mazda cx 5 grand touring awd specs
2009 mazda mx 5 miata grand touring hardtop convertible
Soalan Kbat Sejarah Tingkatan 5 Bab 4 Malayan Union Selangor P
Kbat Dalam Kertas 2 Tingkatan 5 Sejarah Spm 2014
Contoh Soalan Kbat Sejarah Bab 9 Tingkatan 4 Resepi Book F
Contoh Soalan Dan Jawapan Sejarah Spm Kertas 3 Spm Free Spm Tips 2020 By Student Malaysia Education Forum
Sejarah Kertas 3 Spm T5 Bab 2
Sejarah Kertas 3 Bab 3 Bab Terengganu Kuala Terengganu
Sejt5 Soalan Jawapan Contoh Kertas 3 Bab 4 Malayan Union
Sejarah Kertas 3 Tema 11 Malayan Guru Sejarah Spm Ting 4 5 Facebook
Contoh Soalan Kbat Kertas 3 Sejarah Spm 2019 Viral Blog U
Sejarah Tingkatan 4 Kertas 3
Soalan Kbat Sejarah Tingkatan 4 Tamadun Mesir Purba Selangor A
Contoh Soalan Dan Jawapan Kertas 3 Serta Modul Kbat Sejarah Spm Ciklaili
Cara Menjawab Soalan Kbat Sejarah Tingkatan 5
Cadangan Jawapan Kertas 3 Tingkatan 5 Bab 4 Malayan Union
Contoh Soalan Kbat Kertas 3 Sejarah Tingkatan 4 Bab 2 J Kosong W
Skema Sejarah Kertas 3 Bai 1 Tingkatan 5 Fails Paper Personalized Items
Sejarah Tingkatan 5 Bab 3 Kertas 3
Skema Sejarah Kertas 3 Bai 1 Tingkatan 5
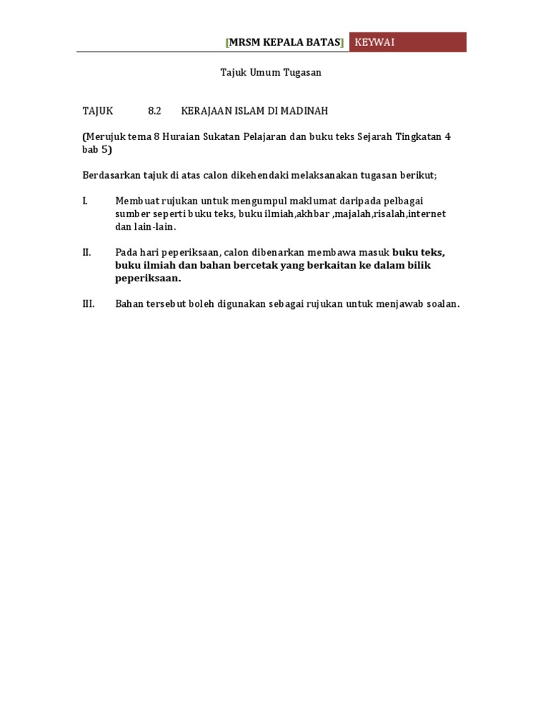
Sejarah Kertas 3 Bab 5 Kerajaan Islam Di Madinah
Sejarah Tingkatan 5 Bab 4 Kertas 3 Jawapan
Source :
pinterest.com
Random Posts
South Africa Vs New Zealand 2015 World Cup Highlights Semi Final
Sono Chi No Sadame Lyrics Japanese Genius
St John Ambulance First Aid Certificate Verification Delhi
Sports Car 2020 Mazda Mx 5 Miata
Specific Latent Heat Of Vaporization Of Water Experiment Discussion
Spider Man 3 2021 Teaser Trailer Tom Holland Jamie Foxx
Something Just Like This Lyrics Quotes
Sonnet 18 Shall I Compare Thee To A Summer S Day Summary
Star Trek Online Gameplay Review
Star Trek Online Gameplay Trailer
Ssdm Contoh Amalan Baik Murid Di Sekolah
State Right Hand Thumb Rule Class 10 Ncert
Star Bazaar Online Shopping Thane
Spanish Number 1 2000
Something Just Like This Piano Sheet Free
Spanish Numbers 1 100 Printable Free
Star Trek Online Logo Png
Sony Xav Ax1000 Backup Camera Wiring
St John Ambulance Association First Aid Training In India
Square Numbers List 1 1000